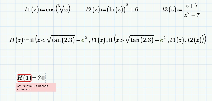
При намаганні обчислити функцію видає "Єти значения нельзя сравнить"
Доброго дня!
Ваше питання переадресовано викладачу.
Очікуйте від нього найближчим часом відповідь.
Доброго дня!
Ваше питання переадресовано викладачу.
Очікуйте від нього найближчим часом відповідь.